
Buy a pull-up bar. Do push-ups and pull-ups, levers, pistol squats. Train outside. Equal gains.



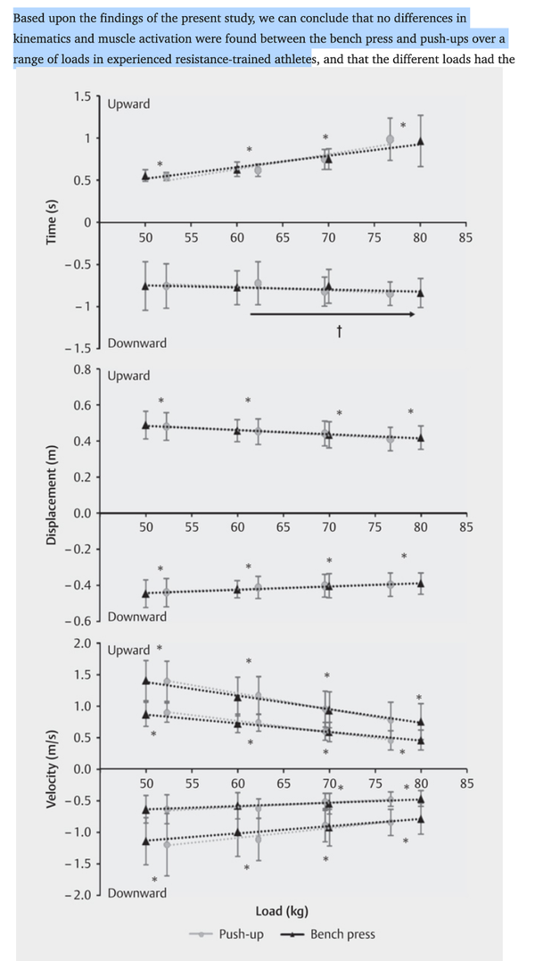
The highest ROI in fitness is long-term adherence, body composition (Lean), Core strength and stability Hypertrophy Equivalence: When effort is matched near failure, push-ups and bench presses yield statistically identical increases in chest and triceps hypertrophy (Kikuchi & Nakazato, 2017). There is zero difference in displacement, velocity, or overall muscle activation between the two movements (van den Tillaar, 2019). Neuromuscular Mastery: Gym machines use "open kinetic chains" (moving an object). Calisthenics relies on "closed kinetic chains" (moving your body with fixed hands/feet), which demands massive core stabilization and joint proprioception (Karandikar & Vargas, 2011). Hand placement (e.g., diamond push-ups vs. dips) forces complex neuromuscular shifts between the triceps and pectorals. Body Composition: Weightlifting measures absolute strength. Calisthenics measures relative strength (strength-to-weight ratio). Because carrying excess non-functional fat acts as an immediate mechanical penalty in bodyweight movements, this protocol naturally drives your body composition toward leanness .