
Take a 2 Minute Cold Shower early in the morning



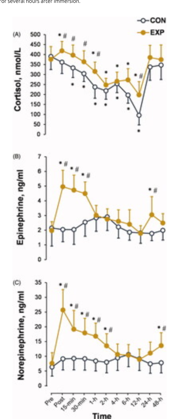
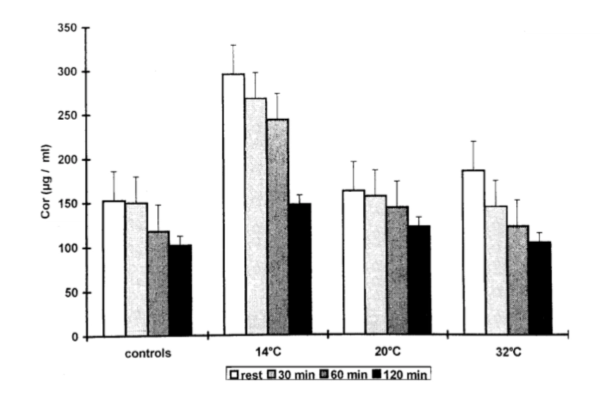
Cold exposure acts as a neurochemical shock, triggering a sustained 250% increase in dopamine and norepinephrine. This "causal chain" elevates focus and mood for hours while activating brown fat to boost metabolism. Target 11 total minutes weekly (2-3 mins per session) to unlock these lasting bio-energetic shifts.