
No screens 1hr post/pre-sleep. Delete apps AND accounts. Install blockers. Disable notifications.



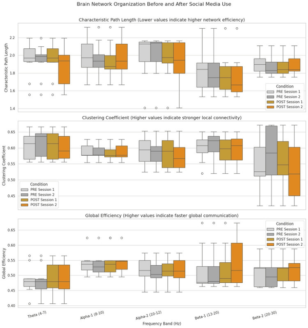
Your smartphone's variable-reward algorithm is actively hijacking your mesolimbic pathway, creating a chronic dopamine deficit. Willpower is useless against machine learning; you must engineer physical friction. The Vesicle Depletion: The brain operates on a delicate balance. High "phasic spikes" (instant digital rewards) rapidly deplete your dopamine vesicles. This directly lowers your "tonic baseline" (daily drive), leading to severe anhedonia where hard work feels impossible (Termann, 2025). Brain Network Alteration: Infinite scrolling interfaces actively weaken inhibitory control in the prefrontal cortex and alter global brain network efficiency, making it neurologically harder to stop scrolling (Termann, 2025). The Actionable Protocol: No screens 1 hour after waking to protect your morning cortisol/dopamine baseline, and 1 hour before bed. Delete native apps. Use the mobile web browser or install modified APKs that strip out the infinite "Reels/Shorts" UI. Disable all push notifications. Use apps like AppBlock to lock your feeds . Nuclear protocol: Delete the accounts ( X, TikTok, Instagram). For the Brave.